![]() |
|
| 产品货号:622203-24/622503-48/622203-96 | |
| 产品名称:伯优 ® 微量 mRNA 扩增试剂盒 | |
| 产品规格:10rxns/48rxns/96rxns | |
| 贮藏温度:-20℃保存伯优微量 mRNA 扩增试剂盒;-80℃保存 Control Total RNA(100 ng/μL)。 | |
| 有效期限:12 个月 | |
| 产品用途:微量 mRNA 扩增。 |
本产品能够以 1 -1000 细胞或 10pg‒10ng 纯化后总 RNA 为模板,采用 Oligo(dT)VN Primer 为逆转录引物,可获得高质量的全长 cDNA。试剂盒操作简便,合成的 cDNA 可兼容特异性文库制备试剂盒,构建文库、测序并进行数据分析。
1、可靠的数据 — 添加 UMI,可以获得更高准确性的基因或转录本检测数;
2、高灵敏度 — 可用于 10 pg-10 ng 的总 RNA 或 1 -1000 个细胞起始;
3、灵活搭配各类建库试剂盒 —本试剂盒不含 index,合成的 cDNA 后续可衔接各类文库制备试剂盒。
![]() ▲cDNA 质量分析 |
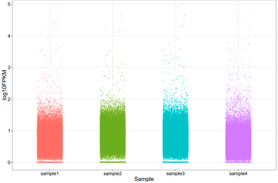
![]() ▲转录组测序结果 |



