今年年初,应用 Olink 蛋白组技术已发表 20 篇文章,包含 8 篇一区文章,其中 2 篇文章分别发表在免疫学和柳叶刀呼吸病杂志(IF 均大于 30),文章质量可以说也是相当高了。小编先着重分享这两篇高分神作,文末给大家附上整理好的文献列表,有兴趣的老师联系我们即可轻松获取全文啦!
01

标题:免疫蛋白质组学分析揭示 COVID-19 感染后出现呼吸道疾病患者中呼吸道的异常免疫细胞调节
期刊:Immunity(IF 31.745)
时间:2021/01/26
单位: 伦敦帝国理工学院
摘要: 一些既往急性 COVID-19 感染患者会出现持续数月的呼吸道症状。这篇文章分析了一组出院 3 个月以上且肺部持续放射检测异常的既往住院的 COVID-19 患者的呼吸道和外周血免疫细胞和蛋白质组的组成。与健康个体相比,COVID-19 感染后患者肺泡灌洗液蛋白质组表达异常,与凋亡、组织修复和上皮损伤相关的蛋白质浓度明显升高,然而在配对的外周血中并未观察到相同的现象。在呼吸道功能障碍更严重的个体中观察到细胞毒性淋巴细胞数量的增加,而 B 细胞数量的增加和单核细胞亚群的改变与更广泛的肺异常有关。对 COVID-19 感染后患者的一年随访表明,这些异常会随着时间的推移而消除。总的来说,COVID-19 导致持续性肺病患者呼吸道免疫格局的长期改变,有证据表明细胞死亡和组织修复与细胞毒性 T 细胞的持续激活有关。
科学问题: 既往 COVID-19 感染后出现呼吸系统疾病的患者呼吸道和外周血中的免疫特征?
实验设计:
▪ 分组:健康人(n=29)的外周血和肺泡灌洗液;既往感染 COVID-19 病史且 3 个月后确诊呼吸道疾病患者(n-38)的外周血和肺泡灌洗液,以及随访 12 个月的外周血和肺泡灌洗液。
▪ 技术:Olink Target-96(Inflammation,Immune Response,Cardiometabolic,Cardiovascular 2,Cardiovascular 3),质谱流式等
结果展示:
▪ 血浆与肺泡灌洗液样本入组信息

▪ Olink 蛋白组显示既往感染 COVID-19 随发呼吸道疾病患者的肺泡灌洗液蛋白组显著改变,血浆蛋白组差异不显著

▪ 肺泡灌洗液中细胞毒性 T 细胞增加与上皮损伤和呼吸道疾病有关,髓细胞和 B 细胞数量与肺部 CT 异常程度相关

02

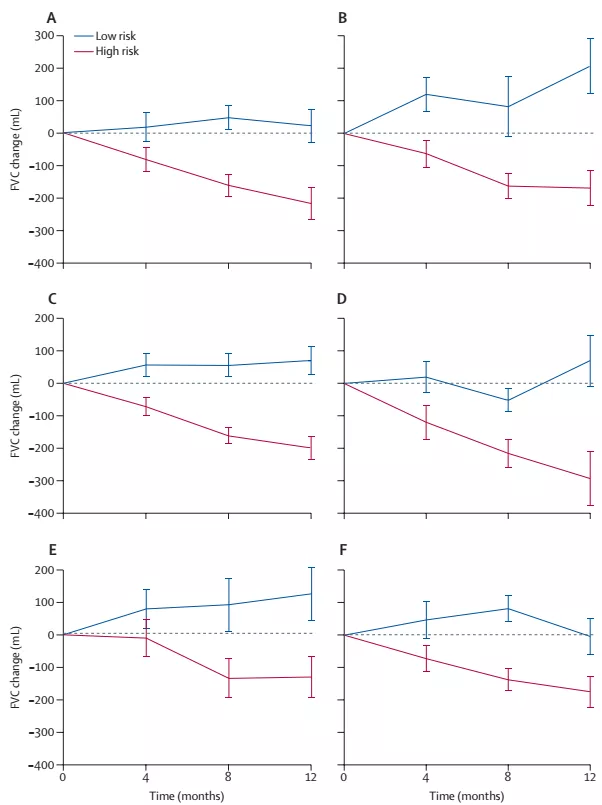
标题:进行性纤维化性间质性肺病的蛋白组特征—— 多中心队列研究
期刊:Immunity(IF 30.7)
时间:2021/01/18
单位: 加州大学
摘要: 进行性纤维化间质性肺病涵盖一系列,其特征是呼吸衰竭加速、疾病频繁恶化和早期死亡。目前没有能够在纤维化进展发生之前鉴别出风险较高的患者的方法。这项研究使用 Olink Explore-384 Inflammation 对 588 个进行性纤维化性间质性肺病患者血浆样本进行检测,通过机器学习共鉴定到 17 个标志物,在预测纤维化性间质性肺病患者风险方面具有巨大的潜力,且不同肺纤维化亚型中均显示出高度一致性。
科学问题: 进行性纤维化性间质性肺病的早期诊断血浆标志物?
实验设计:
▪ 分组:结缔组织疾病相关间质性肺病、慢性过敏肺炎、不可分类间质性肺病患者的血浆样本发现集(n=384),验证集 204 例。
▪ 技术:Olink Explore-384 Inflammation
结果展示:
▪ Olink 蛋白组在发现集中共筛选到 31 个与肺纤维化进展相关的血浆蛋白质,其中 17 个蛋白质在验证集中被进一步验证

▪ 根据基线肺功能临床试验排除标准控制入组,发现集保留 270 例样本,验证集保留 119 例样本。Olink 血浆蛋白组结合机器学习(LASSO 筛选得到由 12 个蛋白质组成的肺纤维化蛋白质组学风险评估模型,定义评分小于 0.3 的为低风险人群,大于等于 0.3 的为高风险人群。和低风险人群相比,高风险人群 1 年内大肺活量变化明显。

2022 新 Olink 文献列表(IF>5),感兴趣的老师联系我们轻松获取全文吧! 咨询热线:17702139967。

