结肠癌(CRC)是世界范围内的严重健康问题,每年约 70 万人因结肠癌死亡,我国开国上将陈毅和彭德怀元帅,“两弹”元勋邓稼先等伟人均是患结肠癌而死,且从确诊到之后死亡时间较长仅间隔 19 个月。CRC 的死亡率主要归因于术后复发和转移。尽管较近在治疗方法上取得了进步,但 CRC 的预后仍远未令人满意。因此,了解 CRC 致癌机制对于 CRC 的诊断和治疗至关重要。
m6A“写入”蛋白(METTL3,METTL14)的失调已经被报道与多种癌种失调有关,XIST(X inactivate-specific transcript)是一种新近鉴定出的 lncRNA,是多种肿瘤的癌基因。因此本文研究了 M6A“写入”蛋白 METTL14 在 CRC 中的功能及其潜在作用机制,初次揭示了 METTL14 和 m6A 修饰在结直肠癌中的重要作用,对预测 CRC 的预后具有重要参考价值。

主要结果
(1)METTL14 抑制 CRC 细胞的体外增殖和转移
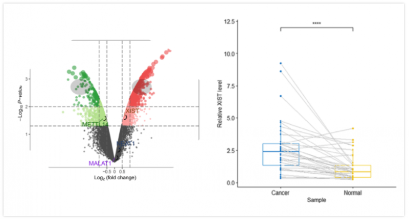
为了研究 m6A 在大肠癌中的作用,首先检测了 37 例 CRC 患者肿瘤组织和正常组织中主要 m6A 甲基转移酶 METL3 和 METL14 的 mRNA 水平。与正常样品相比,癌变组织中的 METTL14 显著下调,而 METTL3 的表达水平没有明显变化。将 METTL14 表达水平与 CRC 患者的临床病理特征进行相关性分析发现,METTL14 含量与肿瘤大小,转移和 TNM 期数呈负相关,表明 METTL14 可能在抑制 CRC 的增殖和侵袭中起重要作用。通过敲除 METTL14 基因,构建体内和体外肿瘤模型,发现 METTL14 低表达后,CRC 细胞的增殖能力和细胞转移能力显著增强。

(2)METTL14 通过下调 lncRNA XIST 抑制 CRC 的生长和转移
为研究 METTL14 抑制 CRC 细胞侵袭和转移的机制,对转录组测序结果进行了 GSEA 分析发现 METTL14 与 ncRNA 代谢、ncRNA 加工、RNA 降解正相关,与生长因子结合,胶原三聚体和胶原结合等信号通路呈负相关,因此,猜测 METTL14 可能通过靶向下调这些途径中的癌基因或致癌 lncRNA 发挥抗肿瘤活性。
取小鼠肿瘤组织进行 RNA 测序发现,lncRNA XIST 在敲除 METTL14 的小鼠中含量显著升高,且 METTL14 表达水平与 XIST 呈负相关。而抑制 XIST 表达,可以明显抑制 CRC 细胞生长和转移。



(3)METTL14 通过 m6A-YTHDF2 依赖性途径下调 XIST
为验证 METTL14 下调 XIST 的功能是否直接取决于其 m6A 催化活性,本文构建了 METTL14 过表达模型,发现 METTL14 过表达时 XIST 含量显著降低,并抑制 CRC 细胞的生长和侵袭作用。而在 METTL14 过表达细胞中敲除 WTAP 以抑制 m6A 过程,结果显示敲除 WTAP 可减轻 METTL14 过表达引起的 XIST 降低水平,恢复 CRC 细胞的生长和侵袭。敲除 METTL14 或 WTAP 均导致 XIST m6 甲基化水平显著降低,表明 METTL14 诱导 XIST 下调取决于 m6A 复合物的形成和随后的 m6A 甲基化过程。
m6A 甲基化是一种标记程序,必须由 m6A 解读蛋白识别才能进一步处理靶 RNA。为了确定 XIST 与 CRC 细胞中 m6A 解读蛋白之间的结合,本文通过免疫沉淀 YTH 家族蛋白后检测 XIST 含量发现,m6A 解读蛋白 YTHDF2 免疫沉淀剂中 XIST 水平明显高于对照组,而敲除 YTHDF2 导致 HCT116 和 HT29 细胞中 XIST 的表达显著增加。在敲除 YTHDF2 的 CRC 细胞中 XIST 衰减速率显示降低,表明 YTHDF2 介导 lncRNA XIST 降解。




总结
本文 CRC 细胞中鉴定了一个“METTL14-YTHDF2-lncRNA XIST”调节网络,从而对 m6A 在 CRC 中的功能和机制有了系统性的认识。通过明确 METTL14 的关键作用和预后价值,为开发针对 CRC 的新疗法提供了新的可能。

伯豪生物服务产品助力国内外临床科研单位发表 SCI 论文 1900 余篇,杂志总影响因子超过 10000 分,其中 Nature、Science、Cell、Lancet Oncol 等高水平论文等高水平论文超过 50 篇。影响因子大于 5 分的文章 659 篇,影响因子大于 10 分的文章 255 篇,影响因子大于 20 分的文章 78 篇,文章领域涉及肿瘤、免疫、神经、发育等多个领域。

更多伯豪生物人工服务:

