文章展示

文章题目:Potent neutralizing antibodies against SARS-CoV-2 identified by high-throughput single-cell sequencing of onvalescent patients’B cells
杂志名称:Cell
发表单位:北京大学北京未来基因诊断高精尖创新中心(ICG),首都医科大学附属北京佑安医院,病原与生物安全国家重点实验室,北京微生物研究所
发表时间:2020.05.13
主要技术:10x Genomics
Pick 理由:新冠热点,单细胞热点,数据挖掘和结构预测两种方式预测中和抗体
技术背景
新冠肺炎疫情在全球快速扩散蔓延,目前感染人数已经超过 750 万人,死亡人数超过 40 万。全球科研人员都在积极努力,期望找到对抗新冠病毒的有效药物,但是目前仍没有针对新冠肺炎的有效药物批准上市。
中和抗体是一类靶向病原体并阻断病原体入侵细胞的特异性免疫球蛋白,由人体免疫系统产生,可以有效阻止病毒感染细胞。在新冠肺炎肆虐全球时,分离出有效的新冠抗体是一个重要的抗役措施。
研究表明,恢复期患者的血浆中含有由适应性免疫反应产生的中和抗体,对轻度和重度 COVID-19 患者进行治疗,均有明显临床改善作用。然而血浆不能量产,限制了这种治疗方法的广泛使用。但是从康复病人的记忆 B 细胞中分离出中和性单抗确实一种有前景的干预治疗方法,这种方法具有良好的可扩展性和治疗效果。
以病毒表面蛋白为靶点的人源单克隆抗体对艾滋病、埃博拉和中东呼吸综合征等传染病显示出越来越多的治疗和预防效果,它们对患者的安全性和效力已在多项临床试验中得到证实,因此对新冠也可以尝试这种治疗方案。
6 月 5 日,国家药品监督管理局正式批准中科院微生物所抗疫科技攻关团队研制的新冠病毒全人源单克隆抗体的临床试验申请,I 期临床试验将在健康人体内进行安全和剂量测试,这也是已经完成了非人灵长类动物实验后,在健康人群中开展的新冠肺炎治疗性抗体临床试验。这标志着具有我国自主知识产权的新冠病毒特异性抗体药物成功进入人体临床评价阶段。
主要研究成果
1. 从 60 名新冠康复患者外周血中富集出 B 细胞,通过高通量单细胞 RNA 和 VDJ 测序快速鉴定出 SARS-CoV- 2 中和抗体。
2. 鉴定出 14 种有效的中和抗体,其中 BD-368- 2 中和效应较强。
3. BD-368- 2 中和抗体对感染 sars-cov- 2 的 hACE2 转基因小鼠也有较强的治疗和预防作用。
4. BD-368- 2 中和抗体与 spike-ectodomain 三聚体复合物的 3.8Å 冷冻电镜结构显示该抗体的表位与 ACE2 结合位点重叠。
5. 证明 SARS-CoV- 2 中和抗体可以根据其预测的 CDR3H 结构与 SARS-CoV 中和抗体的相似性直接选择。
在应对大流行性传染病时,通过高通量单 B 细胞测序可以有效地发现人的中和抗体。
实验样本

分 6 个批次共选取 60 例新冠康复病人的 PBMC 分离出 B 细胞,分别用 CD27 抗体和 RBD 蛋白分选特定类型的 B 细胞,进行单细胞 RNA 和单细胞 BCR 测序。CD27+ 富集细胞主要为记忆 B 细胞,生物素化 RBD 和 S 蛋白主要富集抗原结合的 B 细胞。经过分选后每个样本得到的 B 细胞数量并不多,因此采用多个样本混合的方式。经过数据处理,得到 8,558 种不同的 IgG1 抗原结合克隆型。
数据总览

分析内容

通过 scRNA 数据和 scVDJ 数据结合,将记忆 B 细胞分成了不同的亚类。图 D 显示了挑选克隆的标准,包括 B 细胞类型,富集频率,可变区域突变频率,产生的抗体类型等。一般认为表达 IgG1 的 B 细胞对病毒刺激反应强烈,且体细胞突变(SHM)频率高的细胞亲和力更强。
经过筛选后筛选出 169 个理想候选克隆,通过转染在 HEK293 细胞中表达。同时选择了 47 个非理想克隆作为对照。通过 ELISA,表面等离子体共振等实验发现只有 rbd 结合单克隆抗体具有伪病毒中和作用,同时只有 Kd 小于或接近 ACE2/RBD 解离常数的单克隆抗体与 RBD 结合。


从丰富克隆型分离的中和单抗中,有 7 种具有较强的中和能力,其抗 SARS-CoV- 2 假病毒的 IC50 低于 0.05 mol / l。单克隆抗体是 BD-368-2,与 BD-368 来自同一克隆型。
为了评估它们对真实病毒的中和能力,作者使用从 COVID-19 患者中分离的真实 SARS-CoV- 2 进行了血小板减少中和试验(PRNT)。在所有测试的单克隆抗体中,BD-368- 2 对真实病毒的效力高,IC50 为 15 ng/mL。
为了进一步验证 PRNT 显示的真实的病毒中和作用,作者使用 BD-218 对真实的 SARS-CoV- 2 进行了细胞病理效应(CPE) 抑制试验。在 1.2 的浓度下,BD-218 对所有三次重复均表现出完全的病毒抑制作用。


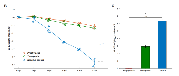
为了评估鉴定出的中和单克隆抗体能否在体内对 SARS-COV- 2 起到治疗干预和预防性保护作用,作者测试了 BD-368- 2 对感染 SARS-COV- 2 的 hACE2 转基因小鼠的中和效果。9 只 hACE2 转基因小鼠分成三组,小鼠实验采用 3 组共 9 只 hACE2 转基因小鼠。
1 组在病毒感染前 24 小时,将 BD-368- 2 腹腔注射进 hACE2 转基因小鼠体内,检测其预防效果。治疗组在感染后 2h 注射 BD-368-2。对照组在感染后 2 小时注射抗 H7N9 病毒 IgG1 抗体(HG1K)作为阴性对照。
感染后 5 天内,每天记录每只小鼠的体重,发现对照组小鼠体重明显下降。
作者通过 qRT-PCR 分析了 5dpi 时肺部的病毒载量,发现在病毒攻击前注射 BD-368- 2 可以完全抑制 SARS-CoV-2。在感染 2h 后注射可以明显降低病毒载量。总之,小鼠实验证明 BD-368- 2 在体内具有较高的治疗和预防作用。

通过克隆富集筛选有亲和力的抗体是一种高效的方法,然而由于取样限制,在很多样本中,大量克隆并未出现明显富集和扩增,可能导致信息的遗漏,因此使用抗体结构预测来注释 Ig-seq 数据,可以更好地选择单克隆抗体。研究表面通过比较与参考中和单抗 CDR3H 结构的相似性选择抗体是一种有效的方法。
然而对于新冠病毒来说,目前并无可用的参考抗体。
为了解决这一问题,作者使用 3.8 Å分辨率下 BD23-Fab 与 S 胞外域三聚体复合物冷冻电镜结构。在这个三维重建结构中,每个 S 三聚体观察到一个单一的 BD23-Fab,它与原聚体 B 中的“下”RBD 结合,且只有 BD-23 的重链可变区参与 RBD 结合。事实上,与 RBD-ACE2 复杂结构的比较表明,BD23-Fab 与 ACE2 竞争与 RBD 的结合。
这一观察结果表明,BD-23 中和 SARS-CoV- 2 的能力来自于 ACE2-RBD 结合的破坏,这与之前鉴定的中和 SARS-CoV 的单克隆抗体高度相似。
综上所述,SARS-CoV 和 SARS-CoV- 2 之间的结构有高度保守性,利用 SARS-CoV 中和单克隆抗体的晶体结构作为参考,筛选具有相似 CDR3H 结构的 SARS-CoV- 2 抗原结合克隆型来识别中和单克隆抗体也是可行的。


鉴定出的单克隆抗体的 CDR3H 序列与 m396 (2dd8) 高度同源,通过破坏 ACE2/RBD 结合发挥中和 SARS-CoV 效应。
令人惊喜的是,作者发现的 12 个单克隆抗体中有 7 个表现出强烈的 RBD 结合亲和力,对伪 SARS-CoV- 2 病毒具有有效中和能力。三种具有代表性的单克隆抗体 BD-503、BD-508 和 BD-515 的中和能力在真 SARS-CoV- 2 的 PRNT 中也得到验证,显示出很高的中和能力。这些单克隆抗体多编码重链 VH3-66/JH6 或 VH3-53/JH6 基因片段,轻链 VLK1- 9 或 VLK1 -33/39 基因片段。

使用双抗体夹心 ELISA 进行的表位封装实验表明,BD-503、BD-508 和 BD-515 可能共享一个重叠的表位。还需要更多的结构分析来获得准确的表位,以确定它们是否具有较大的保守性。
小结
近日北京新冠确诊人数的增加让人们对新冠的警惕性进一步提升。作者鉴定的强中和抗体可能提供一种有效的治疗和预防方案,在 hACE2 转基因小鼠上的结果证明了这一点。使用 BD-368- 2 的临床试验正在进行中。我们期待良好的临床实验结果,也期望本文中的方法可以扩展应用到其他传染病的研究与治疗中。
更多伯豪生物服务

