发布时间:2020-04-24 浏览次数:23201
MeV软件做热图|科研黑眼圈克星!
刚开学,是否就被老板叫去 ![]()

随之而来就是渐渐加深的黑眼圈 ![]()

小编这里有一个方子 ![]()
就连黑眼圈都木有了 ![]()
MeV 软件做热图

快速拯救你的秀发
MeV 软件做热图
热图小工具直 -MEV(Multiple Experiment Viewer)
Mev 软件官网下载 https://sourceforge.net/projects/mev-tm4/files/mev-tm4/,无需安装,解压后,双击 TMEV.exe 即可,但是需要在使用该软件之前安装 JAVA。

02、 软件使用
准备数据
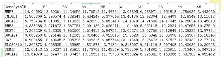
如下图,首列是 gene symbol,geneID 或者 probe,后边是每个样本的信号值 / 测序 FPKM 值。

打开软件
选择 file——load data——browse——选择数据打开——Load 数据

对样本按行进行归一化
adjust data---Gene/Row Adjustments---Normalize Gene/Rows

聚类
选择 HCL(层次聚类)


聚类完结果,点左侧 HCL1,点 HCL tree

参数调整
调整 1——颜色


调整完

调整 2
在界面右击,选择红色方框的选项,设置去掉红色圈中标志


调整 3
设置图形大小

设置每个条形的宽高

选择 tiff 格式,对图片命名,保存


得到的热图

微信链接 【查看原文】
更多伯豪生物服务

